Μετάβαση στο περιεχόμενο
Newsletter: Εγγραφείτε στην ημερήσια τεχνική ενημέρωση από το Michanikos.gr ×

Recommended Posts

Δημοσιεύτηκε

@terry

Ναι αυτό είναι αλλά η σωστή του ονομασία είναι "Διακόπτης Διαφυγής Έντασης" όπως έγραψε ο AlexisPap.

 

Και μας προστατεύει αν πιάσουμε (γενικότερα ακουμπήσουμε) τον αγωγό που έχει ρεύμα (εκείνον στον οποίο ανάβει το δοκιμαστικό κατσαβίδι) ΑΝ ΟΜΩΣ με το άλλο μας π.χ. χέρι πιάσουμε και τον ουδέτερο τότε δεν μας προστατεύει ο ΔΔΕ γιατί μας βλέπει ως κατανάλωση και όχι ως διαρροή.

 

Γενικότερα δεν υπάρχει προστατευτική διάταξη που να μας προστατεύει αν πιάσουμε και φάση και ουδέτερο ή αν πιάσουμε δύο φάσεις.

 

για αυτό και ο AlexisPap σωστά έγραψε:

Πράγμα πολύ καλό γι' αυτόν που έπιασε τον γυμνό αγωγό...

και όχι "γυμνούς αγωγούς" (πλυθηντικός αριθμός)

 

 

@pisinologosmichanikos

Τα αυτματάκια προστατεύουν την ηλεκτρική εγκατάσταση -αγωγούς και ηλεκτρικές καταναλώσεις που συνδέεονται σε αυτήν- από υπεφόρτιση (υπερένταση) και βραχυκυκλώμα ενώ ο διακόπτης διαφυγής έντασης προστατεύει τους χρήστες των ηλεκτρικών εγκαταστάσεων και των συσκευών που συνδέονται σε αυτές από διαρροή ρεύματος (που θα προκύψει από σφάλμα μόνωσης).

Το καθένα δηλαδή εξυπηρετεί διαφορετικό σκοπό στην ηλεκτρική εγκατάσταση.

Δημοσιεύτηκε
Να όμως που ένας ΔΔΕ "χάλασε" και ήρθε η ώρα της νεκροψίας.

 

Και για να 'χουμε καλό ρώτημα, τι είχε χαλάσει; Πώς και πότε το καταλάβατε;

Δημοσιεύτηκε

Για την ακρίβεια δεν δούλεψε ποτέ. Ήταν ολοκαίνουργος, σε ολοκαίνουργιο πίνακα. Αλλά όταν έγινε η ηλεκτροδότηση διαπιστώθηκε ότι δεν "έπεφτε", ούτε με το δοκιμαστικό, ούτε με γεφύρωση ουδετέρου γειώσεως.

 

Τα εντόσθιά του ήταν ωστόσο σε άριστη κατάσταση. Το κύκλωμα και ο ηλεκτρομαγνήτης δουλεύει, ο μηχανισμός σκανδαλισμού του διακόπτη αντιδράει σε ελαφρότατη πίεση, όλα φαίνονται εν τάξει... αλλά μάλλον δεν είναι.

Δημοσιεύτηκε
...ούτε με βραχυκύκλωση ουδετέρου γειώσεως.

 

γεφυρώνουμε τον ουδέτερο με τη γείωση.

 

Όταν γεφυρώνουμε αλλά και όταν βραχυκυκλώνουμε δύο σημεία τα ενώνουμε με έναν αγωγό μικρής αντίστασης (κάνουμε την ίδια διαδικασία δηλαδή και στις δύο περιπτώσεις).

Όταν τα δύο σημεία έχουν διαφορετικό δυναμικό και κάνουμε την παραπάνω διαδικασία τα βραχυκυκλώνουμε

ενώ όταν τα δύο σημεία έχουν το ίδιο δυναμικό και κάνουμε την παραπάνω διαδικασία τότε τα γεφυρώνουμε.

Δημοσιεύτηκε

@engineer_thess

 

δεν είπα ότι είναι για την ίδια δουλειά!

καλή η θεωρία αλλά στην πράξη

αν γίνει βραχυκύκλωμα δεν πέφτει πρώτα ο ΔΔΕ (πριν το αυτοματάκι)?

και αντίστοιχα αν πάθεις ηλεκτροπληξία (χωρίς να κάνεις κύκλωμα με τον ουδέτερο ή με 2 φάσεις)

δεν θα πέσει το αυτοματάκι αν δεν υπάρχει ΔΔΕ συνδεδεμένος?

Δημοσιεύτηκε

Αυτό που μας κάνει μηχανικούς είναι η ικανότητα να υπολογίζουμε και να εκτιμούμε ποσοτικά αυτό που οι πολλοί μπορούν να κατανοήσουν μόνο ποιοτικά.

 

Αν θέλουμε να κατανοήσουμε ποσοτικά τον ΔΔΕ, πρέπει να ξεκινήσουμε βρίσκοντας τα χαρακτηριστικά του κυκλώματος, κατά βάση τις εμπεδήσεις:

 

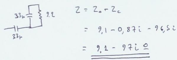
πρώτα, για το πυκνωτή (zc = -96,5i Ω):

attachment.php?attachmentid=3577&stc=1&d=1296424414

 

 

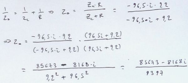
μετά για πηνίο (που στα 50Hz μπορούμε να υποθέσουμε ότι είναι καθαρά ωμικό φορτίο) παράλληλα στον πυκνωτή (zo = 9,1-0,87i Ω)):

attachment.php?attachmentid=3578&stc=1&d=1296424561

 

και τέλος για το συνολικό κύκλωμα του "φορτίου" (z = 9,1-97i Ω):

attachment.php?attachmentid=3579&stc=1&d=1296424747

 

 

Τα πρωτεύοντα τυλίγματα έχουν 2,5 σπείρες, ενώ το δευτερεύον έχει 62 σπείρες. Ο λόγος μετασχηματισμού είναι Ν = 62/2,5 = 24,8.

Έχουμε σοβαρούς λόγους να πιστεύουμε ότι ο μετασχηματιστής δουλεύει μακρυά από τον κόρο, οπότε μπορούμε να χρησιμοποιήσουμε τις σχέσεις του εξιδανικευμένου μοντέλου:

Αφού εξετάζουμε για το πρωτεύον ρεύμα 30mA, στο δευτερεύον θα έχουμε ρεύμα 30/24,8 = 1,21mA.

 

Με δεδομένο το ρεύμα μπορούμε να βρούμε τις τάσεις:

V, που αντιστοιχεί στην εμπέδηση z (συνολικό κύκλωμα)

Vo, που αντιστοιχεί στην εμπέδηση zo (πηνίο // πυκνωτή)

 

και το ρεύμα Ιπ που διαρρέει το πηνίο:

attachment.php?attachmentid=3580&stc=1&d=1296425139

(με κόκκινο είναι οι συνισταμένες rms τιμές τάσεων / εντάσεων)

 

Υπολογίσαμε λοιπόν ότι όταν το ρεύμα διαρροής είναι 30mA, το ρεύμα στο πηνίο είναι 1,2mA. Με το ρεύμα αυτό το πηνίο πρέπει να αποδεσμεύει τον οπλισμό.

Πως μπορούμε να το ελέγξουμε; Με μία επαναφορτιζόμενη μπαταρία NiMH που δίνει 1,25V και μία αντίσταση 1kΩ! Το ρεύμα έχει τιμή προφανώς 1,25mA, και διαπιστώνουμε όντως ότι είναι αρκετό για να αποδεσμεύσει τον οπλισμό!

 

attachment.php?attachmentid=3583&stc=1&d=1296425779

Ο οπλισμός αποδεσμευμένος με 1,25mΑ. Κάτω δεξιά, ο οπλισμός κατεβασμένος.

 

Να και μερικά ακόμη συμπεράσματα: Ένα διαφορικό ρεύμα μερικών εκατοντάδων αμπέρ (το ρεύμα βραχυκυκλωματος) θα προκαλούσε στο δευτερεύον τάση πολλών εκατοντάδων (έως χιλιάδων) βόλτ (υποθέτοντας ότι δεν φτάνουμε στον κόρο). Να λοιπόν γιατί χρειάζεται το κύκλωμα προστασίας με τις δύο διόδους.

Εν τέλει, οι δίοδοι θα ψαλιδίσουν την τάση όταν το διαφορικό ρεύμα θα λάβει τιμή μεγαλύτερη από 0,7/0,12*30 = 175mΑ.

 

 

ΙΔΟΥ ΤΙ ΚΑΝΕΙ Η ΕΝΤΡΟΠΙΑ ΣΕ ΕΝΑΝ ΔΔΕ:

picture.php?albumid=166&pictureid=497

 

(και ένα κουίζ, προσφορά σε μια μικρή μερίδα απελπισμένων φίλων πολιτικών μηχανικών...)

 

:P

post-33925-131887257481_thumb.jpg

post-33925-131887257486_thumb.jpg

post-33925-131887257497_thumb.jpg

post-33925-131887257507_thumb.jpg

post-33925-131887257518_thumb.jpg

  • Upvote 2
Δημοσιεύτηκε

Αλέξη, πολύ ωραίος!

 

Έκανα τον παραπάνω υπολογισμό για διαρροή 30mA συχνότητας 150Hz ώστε να δω την επίδραση του φίλτρου. Η ενεργός ένταση στο πηνίο προκύπτει 1,15mA, πολύ κοντά σε αυτή που προκύπτει από την διαρροή των 50Hz. Χωρίς να αποκλείουμε την περίπτωση αριθμιτικού λάθους.;)

Δημοσιεύτηκε

Χμ... σκοπός μου δεν ήταν μία τόσο διεξοδική διερεύνηση, αλλά τώρα μου βάζεις ιδέες...

Θα ξαναδώ τις πράξεις και θα τις βάλω στο excel για να βγάλω διάγραμμα απόκρισης. Ωστόσο, οι πυκνωτές δεν θα μπορούσαν να είναι κάτι άλλο από φίλτρο...

 

Παρεμπιπτόντως να σχολιάσω ότι αυτό που κάνουμε εδώ είναι "ανάδρομη" ανάλυση και δεν έχει καμία σχέση με τον σχεδιασμό και τους υπολογισμούς που απαιτούνται για τον σχεδιασμό μίας συσκευής (ακόμη και τόσο απλής όσο ένας ΔΔΕ). Ό,τι έχω γράψει έχει καθαρά ψυχαγωγικό/εκπαιδευτικό χαρακτήρα...

 

Edit: Μίλτο, πρωί Δευτέρας, δεν έχεις να κάνεις τίποτα καλύτερο από το να υπολογίζεις ρεύματα για 150Hz; :P

Δημοσιεύτηκε

Reverse engineering λέγεται στα αγγλικά και είναι ένας από τους τρόπους για να "κλέψεις" ιδέες μιας και η βιομηχανική κατασκοπία διώκεται. Όλοι οι κατασκευαστές το κάνουν λίγο ως πολύ. Παράδειγμα: η Intel διατείνεται ότι η AMD κατασκεύασε τους πρώτους της επεξεργαστές αφού πρώτα βρήκε πώς δουλεύουν οι intel επεξεργαστές μέσω του reverse engineering. Έτσι η AMD γλίτωσε αρκετά δις ευρώ σε R&D.

Δημιουργήστε ένα λογαριασμό ή συνδεθείτε προκειμένου να αφήσετε κάποιο σχόλιο

Πρέπει να είστε μέλος για να μπορέσετε να αφήσετε κάποιο σχόλιο

Δημιουργία λογαριασμού

Κάντε μια δωρεάν εγγραφή στην κοινότητά μας. Είναι εύκολο!

Εγγραφή νέου λογαριασμού

Σύνδεση

Εάν έχετε ήδη λογαριασμό; Συνδεθείτε εδώ.

Συνδεθείτε τώρα
×
×
  • Create New...

Σημαντικό

Χρησιμοποιούμε cookies για να βελτιώνουμε το περιεχόμενο του website μας. Μπορείτε να τροποποιήσετε τις ρυθμίσεις των cookie, ή να δώσετε τη συγκατάθεσή σας για την χρήση τους.