-
Περιεχόμενα
1.168 -
Εντάχθηκε
-
Τελευταία επίσκεψη
-
Days Won
4
Τύπος περιεχομένου
Profiles
Φόρουμ
Downloads
Gallery
Ειδήσεις
Media Demo
Αγγελίες
Store
Everything posted by iovo
-
Εχω την έκδοση 3.0.6. Πρόσφατα βγήκε η έκδοση 3.1.2 την έχει εγκαταστήσεο κανείς? Έχει εμφανίσει προβλήματα?
-
Gracie φίλος...
-
Ένα πολύ εύχρηστο Online πρόγραμμα εσωτερικής διακόσμησης από portal διακόσμησης http://mydeco.com/rooms/
-
Γιατί δεν βάζεις μια αγγελία ζητείται εδώ ?
-
Συμφωνώ με τον AlexisPap. Από την στιγμή που το οπλισμένο σκυρόδεμα είναι χυτό υλικό και μετά την σκλήρυνσή του το μόρφωμα που προκύπτει είναι μονολιθικό τότε δεν μιλάμε για δοκό επί υποστυλωμάτων αλλά για πλαίσιο οπλισμένου σκυροδέματος. Και μέχρι την περιοχή ελαστικής απόκρισης των στοιχείων οπλισμένου σκυροδέματος συμπεριφέρεται ώς τέτοιο. Αν με τον σχεδιασμό που κάνεις θεωρείς ότι η δοκός σου θα σχηματίσει πλαστικές αρθρώσεις στα άκρα (ικανοτικός) τότε στην οριζόντια φόρτιση σχεδιασμού η δοκός μετατρέπεται σε αμφιαρθρωτή (όχι ακριβώς μια και θα υπάρχει πάντα μια δυσκαμψία στην στροφή τουλάχιστον στους πρώτους βρόγχους ανακύκλισης). Οπότε αν σε εκείνη την περίπτωση θέλεις το άνοιγμα της δοκού να μπορεί να φέρει τα κατακόρυφα φορτία σχεδιασμού τότε μπορείς να πείς ότι συμπεριφέρεται σαν αμφιαρθωτή δοκός. Συνήθως όμως αυτή η απαίτηση καλύπτεται ήδη από τον πρότερο σχεδιασμο.
-
Αν τις υπολογίσεις κανονικά (Βλέπε ελαφρές μεταλλικές κατασκευές του Μιχάλτσου) και χρησιμοποιήσεις και εγκάρσιες ράβδους ευστάθειας με μικρή κλίση (έως 5%) στην στέγη μπορεί και να σου βγούν και έτσι να μειώσεις αρκετά το βάρος της κατασκευής.
-
Εγώ θα σου πρότεινα να πάς να αρχίσεις να σπουδάζεις εκεί που πέρασες και να γίνεις όσο πιο καλός, ικανός και εκπαιδευμένος μπορείς. Κοίτα να ρουφήξεις ότι γνώση σου δίνεται από την ευκαιρία που έχεις μπροστά σου. Καλό θα ήταν παράλληλα με τις σπουδές σου να αποκτήσεις και κάποια εμπειρία από την δουλειά όπου μπορείς. Κοίτα να βρείς πιο ιδιαίτερο κομμάτι σε ενδιαφέρει και αγαπάς από το πολύ μεγάλο πεδίο του Μηχανικού. Μην κοιτάς τα τυπικά δικαιώματα σου, ότι ξέραμε μέχρι τώρα αλλάζει, μάθε και μείνε σε εγρήγορση. Οι ηλίθιες διαφορές των επαγγελματικών δικαιωμάτων τελειώνουν οσονούπω είτε το θέλουμε είτε όχι, είτε μας αρέσει είτε όχι. Στην συνέχεια αν τελειώσεις και νοιώθεις ότι θέλεις να διευρύνεις τις γνώσεις σου και τις ικανότητές σου τότε σκέψου τι θα κάνεις.
-
Και η άποψη για το εκπαιδευτικό σύστημα ενός... γνώριμου μας από την kathimerini.gr. Οι βάσεις και οι στρουθοκάμηλοι του Θ.Π. Τάσιου
-
Σπουδές Πολιτικού Μηχανικού στην Κύπρο ή στην Ελλάδα;
iovo replied to loukia_civil's θέμα in Προπτυχιακά-Μεταπτυχιακά
Πολύ καλή σχολή με πολύ καλές μονάδες στο καθηγητικό προσωπικό. Έκανα 7 χρόνια εκεί Δίπλωμα - ΜΔΕ έμεινα πολύ ευχαριστημένος αν και σε πολλά πράγματα επικράτησε και σε εμένα η κλασική νοοτροπία του Έλληνα φοιτητή. Αν ενδιαφερθείς θα μάθεις πάρα πολλά εκεί. Εκτός από αυτά, πρόκειται για ένα άρτιο περιβάλλον με πολύ καινούργιες (2001) και καλές εγκαταστάσεις, σύγχρονο εργαστηριακό εξοπλισμό (νέα σεισμική τράπεζα, εργαστήριο αντοχής, και κατασκευών με 2 τοίχους αντίδρασης) . Όσο για την φοιτητική ζωή στην Πάτρα έχω να θυμάμαι τα καλύτερα. -
Σπουδές Πολιτικού Μηχανικού στην Κύπρο ή στην Ελλάδα;
iovo replied to loukia_civil's θέμα in Προπτυχιακά-Μεταπτυχιακά
H μεγάλη διαφορά με τα Ελλαδικά πανεπιστήμια είναι ότι θα έχεις να αντιμετωπίσεις ένα σωρό άλλα πράγματα εκτός της ακαδημαϊκής ποιότητας της γνώσης. Και αυτά ξεκινάνε από τον υπερπληθυσμό των τμημάτων σε φοιτητές συνεχίζουν με την ισχυσρή συνδικαλιστική δράση των φοιτητών στα πανεπιστήμια (που κατά την άποψή μου μόνο κακό κάνει) και καταλήγουν με νοοτροπίες καθηγητών που μόνο μάθημα δεν έχουν σκοπό να κάνουν. Κοινώς στα Ελληνικά πολυτεχνεία θα βρείς πολύ καλή ποιότητα σπουδών μόνο όμως αν έχεις ισχυρά κίνητρα και θέληση από μόνος σου. Αν δεν ενδιαφέρεσαι για την σχολή δεν πρόκειται να σου πεί κανένας τίποτα θα βρεθείς να διαβάζεις μόνο στις εξεταστικές, και θα πάρεις ένα πτυχίο που θα σου εξασφαλίζει καποια επαγγελματικά δικαιώματα. Στην Κύπρο από ιδία πείρα γνωρίζω ότι γίνονται σημαντικές προσπάθειες για δημιουργία ποιότητας νέων τμημάτων με λογική κυρίως ευρωπαικών πανεπιστημίων. Σίγουρα δεν μπορεί ένα τόσο νεοσύστατο τμήμα να έχει πείρα και συνοχή όσο ένα ΕΜΠ ας πούμε, αλλά θα έχεις να κάνεις με καθηγητές μονάδες που έχουν ώς σκοπό την ανάδειξη του τμήματος. Για μένα είναι πολύ σημαντικό να συνεργάζεσαι με νέους καθηγητές με όρεξη και όχι με βολεμένους Δ.Υ. Πέρα από τι απόψεις μπορείς να διαβάσεις σε ένα forum εγώ θα σου πρότεινα να μιλήσεις με τα ίδια τα ιδρύματα, να πάς εκεί να βρείς καθηγητές τους προέδρους των τμημάτων και να συζητήσεις τους προβληματισμούς σου. -
Ας προστεθούν και αυτά τα αρχεία στον κατάλογο, στις μελέτες. Μέθοδοι ενίσχυσης-επισκευής στοιχείων θεμελίωσης -εδώ Μελέτες και κατασκευές προσεισμικών ενισχύσεων - εδώ ΥΓ. Ευχαριστώ για τις ...ευχαριστίες παίδες.
- 34 απαντήσεις
-
- ενισχύσεις
- επεμβάσεις
-
(and 1 more)
Με ετικέτα:
-
Ως γνωστον οι αμοιβες των μηχανικων υποκεινται σε κρατησεις υπερ τσμεδε 2% ,και υπερ εμπ 1% . οι κρατησεις αυτες καταβαλονται επι ειδικου εντυπου στην εθνικη τραπεζα. η ερωτηση ειναι: οι παραπανω κρατησεις υποκεινται στην καταβολη χαρτοσημου ? που και αυτο καταβαλλεται με το ιδιο εντυπο στην ετε. μηπως εχει καταργηθη? σε καθε περιπτωση βασει ποιου νομου, εγκυκλειου,αποφασης ?
-
Του Θανάση Ηλιοδρομίτη από την http://www.imerisia.gr Αποφασιστικό βήμα για την «απελευθέρωση» του επαγγέλματος των μηχανικών, θα αποτελέσει η αποδοχή της εισήγησης της Γενικής Διεύθυνσης Ανταγωνισμού προς την Επιτροπή Ανταγωνισμού, με την οποία ζητείται να κηρυχθούν παράνομες οι αποφάσεις της Διοικούσας Επιτροπής του TEE, με τις οποίες καθορίζονται κατώτερα όρια αμοιβών των μηχανικών. Εισήγηση Η απόφαση της Επιτροπής, που αφορά πάνω από 90.000 μηχανικούς και αρχιτέκτονες και θα επηρεάσει τις εξελίξεις σε έναν από τους μεγαλύτερους κλάδους της ελληνικής οικονομίας, αναμένεται να σημάνει το «άνοιγμα» και άλλων κλειστών επαγγελμάτων, σε περίπτωση που γίνει δεκτή η εισήγηση. Η ακροαματική διαδικασία για την υπόθεση αναμένεται να αρχίσει προς τα τέλη Σεπτεμβρίου στην Ολομέλεια της Επιτροπής Ανταγωνισμού. Όπως επισημαίνεται στην εισήγηση, η Δ.Ε. του ΤΕΕ «υποκατέστησε χωρίς σχετική νομοθετική εξουσιοδότηση την πολιτεία, υιοθετώντας ελάχιστο κόστος κατασκευής έργων. Η κατ' αυτό τον τρόπο υιοθέτηση κατωτάτων ορίων αμοιβών στο χώρο των ελευθερίων επαγγελμάτων, εφόσον αποδειχθεί, συνιστά σοβαρό περιορισμό του ανταγωνισμού». Η εισήγηση αναφέρεται ειδικότερα σε αποφάσεις του ΤΕΕ που αντικαθιστούσαν προηγούμενες πράξεις της πολιτείας, σχετικά με την Ενιαία Τιμή Αφετηρίας για όλη την Ελλάδα. Υπολογισμός Με την υιοθέτησή τους, τονίζεται, χρησιμοποιείται πλέον ως βάση για την αμοιβή των μηχανικών το ποσό των 105 ευρώ ανά τετραγωνικό μέτρο, αντί του ποσού των 44 ευρώ που ίσχυε από το 1989. Το ποσό των 105 ευρώ ίσχυε το 2007 και ήδη ύστερα από τρεις ετήσιες αυξήσεις έχει διαμορφωθεί στα 118 ευρώ.
-
Επιτέλους κάτι θετικό. Μπράβο σε αυτή την κίνηση.
-
Με θλιβόμενη διαγώνιο (δες ΚΑΝΕΠΕ και σημειώσεις Τάσιου) , για να μπορέσεις να προσομοιώσεις την δυσκαμψία του υπογείου. Το sap έχει στοιχείο NLlink που δουλεύει μόνο σε θλίψη. Έτσι και αλλιώς δεν περιμένεις πλαστικοποίηση των τοιχωμάτων του υπογείου.
-
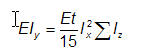
Δεν θυμάμαι αν πρόκειται για εργασία του Τάσιου πάντως έχω χρησιμοποιήσει την σχέση για την προσομόιωση ασθενούς διαφράγματος σε εργασία μου. Η αύξηση των αδρανειακών μεγεθών των δοκών σε οριζόντιες φορτίσεις, γίνεται σύμφωνα με τις παρακάτω σχέσεις: για κάμψη στο επίπεδο της πλάκας ( διάνυσμα κάμψης παράλληλο προς τον κατακόρυφο άξονα του καθολικού συστήματος συντεταγμένων) EIz = για το μέτρο ατένειας της δοκού, EA = για θεώρηση διατμητικής αντίστασης GAz = αντίστοιχα
-
Πληροφορίες για ανάλογες σχολές (μηχανικός αεροσκαφών)
iovo replied to air_mechanic's θέμα in Εκπαίδευση
Στο ΤΕΙ Χαλκίδας http://www.aero.teihal.gr/ -
Ο ΚΑΝΕΠΕ σαν κανονιστικό κείμενο είναι πιο ολοκληρωμένο για επεμβάσεις, καλύπτει κατασκευαστικές διατάξεις για βλήτρα, ματίσματα, FRP κλπ, στην Ελλάδα ήδη εφαρμόζεται σε μελέτες δημοσίου αλλά υπάρχουν και παραδείγματα ιδιωτικών μελετών που έχουν γίνει με ΚΑΝΕΠΕ και έχουν περάσει από τις τοπικές πολεοδομίες. Ο EC8 part-1-3 αφορά μόνο στην αποτίμηση υφισταμένων κατασκευών οπλισμένου σκυροδέματος και υπολογισμό των τοπικών αντιστάσεων/ικανοτήτων παραμόρφωσης των στοιχείων. Οι τύποι που χρησιμοποιεί πρακτικά είναι οι ίδιοι με αυτούς του ΚΑΝΕΠΕ μια και οι δύο προέρχονται από ερευνητικές εργασίες του καθ Μ.Ν.Φαρδή. Το μόνο που αλλάζει είναι οι συντελεστές ασφαλείας αλλά και ο προτεινόμενος τρόπος υπολογισμού του σημείου επιτελεστικότητας. Ο ΚΑΝΕΠΕ ενσωματώνει και την μέθοδο της FEMA για τον υπολογισμό της στοχευόμενης μετακίνησης. Αν ψάξεις λίγο θα βρείς και εφαρμογές του ΚΑΝΕΠΕ στην Κύπρο.
-
jackson +1
-
Ναι αυτό εννοώ να βρεί την μετατόπιση μόνο κατα την διεύθυνση που ο τοίχος θα θλίβεται
-
Κάνε αυτό που λέει ο jackson μόνο για την διεύθυνση της θλιβόμενης διαγωνίου όμως.
-
Ναι jackson αλλά δεν είχε πεί συνθηκές στήριξης μέχρι το πρηγούμενο Post . Λογική είναι η δυσκαμψία νομίζω καθώς έχεις αρθρώσεις στην βάση
-
Η καμπτική δυσκαμψία στύλου είναι γνωστή και είναι 12ΕΙ/L^3 . Μια απλοϊκή προσέγγγιση είναι να θεωρήσεις το δίστυλο ώς μονοβάθμιο ταλαντωτή μέ μια μάζα στην κορυφή του και να πάρεις 2 φορες την δυσκαμψία των στύλων. Μια προσομοίωση της δυσκαμψίας της διαγωνίου της τοιχοποϊιας μπορείς να βρείς στον ΚΑΝΕΠΕ. Αλλά αυτό που πρέπει να τους πείς είναι ότι η δυσκαμψία του τοίχου είναι κατά 99% σίγουρο ότι δεν λήφηκε υπόψη κατά την ανάλυση του μεταλλικού πλαισίου. Ακόμα θέμα κοντού υποστυλώματος στα μεταλλικά δεν υπάρχει καθώς ακόμα και διατμητικά να αστοχήσει ο στύλος θα έχει πλάστιμη συμπεριφορά. Χιαστί δεν έχει το πλαίσιο στην ασθενή διεύθυνση? Κάνε μια ανάλυση να δείς άν οι έλεγχοι μετατοπίσεων σου βγαίνουν από την λειτουργικότητα (θ, Η/300) και γράψε τους μια τεχνική έκθεση ΥΓ.Συμφωνώ με το ΥΓ του Alexpap...ότι θέλουμε λέμε...
-
Πάνω στου φόρουμ τα βουνα που ναι σαν το μαλί του erling καθότανε ο engineer κι έκανε administrating Kι εκεί που άραζε καλά κι έκανε moderating αμέσως τα παράτησε και άρχισε το dating 10 βδομάδες πάλευε στου καραβιού τ' αμπάρι κι αφού κάθισε και σκέφτηκε smod ευθύς μας έχρισε τον άριστο τον Χάρη Κι ηρέμησε η θάλασσα κοπάσαν οι φουρτούνες και τα κλίκ ανέβαιναν σαν της cosco της μαούνες Πέρασαν καιροί πολλοί και εποχές μυριάδες και Mods εχρίστηκαν πολλοί μαντραχαλάδες Ο Τheo o μοτοσυκλετάς με το άγριο αβατάρ του κακό σκυλί και μεταλλάς όλοι φοβότανε πολύ σαν έπεφτε η σκιά του Ο acnt o θεσσαλός με την φωνή βραχνάδα τον αγαπήσαν οι αρχιτέκτονες σε όλη την ελλάδα Η myri όμορφη πολύ με εκπαιδευμένο χέρι καλή στο σχέδιο πολύ καλή και στο καρτέρι Η anka εμφανίστηκε μέσα απ' τη νουθεσία αρχεία ανέβαζε πολλά κι ηξερε νομοθεσία O ckiriako ήξερε απ τα προγράμματα ένα κάρο μα πριν προλάβει να φτιαχτεί τον πήρανε φαντάρο Η Κρήτη χτύπησε σκληρα με 2 γενήμματά της τον ένα έφερε απα τα Χανιά τον άλλο απ τη μαγκιά της Ο Ζάχος εσυμβούλευε για forum σαν να ξέρει και στης φύσης τα προβλήματα ήταν μεγάλο αστέρι Ο Άρης εκανε μεταλλικά μελετητής μεγάλος, μα τώρα επαντρεύεται κι εγινε κάποιος άλλος Ο Παναγιώτης ήταν μάστορας με αφθονα αστειάκια μα ήτανε καλός πολύ και γιάτρευε pc-άκια Ο Grtopo ήτανε μεγάλος γεωμέτρης τα τοπογραφικά εγνώριζε κι ήταν πολύ λεβέντης Ο Thomas ήξερε πολλά και είχε φαντασία καλός στην αποτύπωση και στην γεωδαισία Μα κάπου εδώ κουράστηκα και έμπνευση δεν έχω με έπιασε η εργασία και άλλο δεν κατεχω Καλώ λοιπον εσάς του φόρουμ τα ξεφτέρια την ιστορία να συνεχίσετε με καθαρά τα χέρια Κι όπου σταθείτε φίλοι μου και άλλο δεν μπορείτε αφήστε του φόρουμ τον χορό να γράψει για να δείτε
